안녕하세요. 이번 시간에는 ALD, ALE 기술이 급부상하며 함께 떠오른 ASD에 대해 공부해보겠습니다.
지난 시간에 배운 ALD에 대해서 궁금하신 분은 아래 링크를 타고 ALD에 대해 읽어보고 오시면 이해에 더욱 도움이 되겠습니다.
https://semiconprocess.tistory.com/6
[반심공] ALD_Atomic Layer Deposition(원자층 증착 공정)
안녕하세요. 오늘은 반도체 8대 공정 중에서도 기본에서 나아간 심화공정을 다뤄보겠습니다.처음 소개해드릴 심화 공정은 ALD, 원자층 증착 공정입니다. ALD와 ALE에 대한 내용은 포스팅을 추가하
semiconprocess.tistory.com
Contents
- What is ASD?
- ASD in MPT(Multi Patterning Technology)
- ASD process with ALD and ALE
목차는 다음과 같습니다. ASD가 무엇인지 간략하게 살펴보고, 다중 패터닝기술과 ASD를 연관지어 본 후
ALD와 ALE를 활용한 ASD 연구 사례를 가볍게 공부해보겠습니다.
1. What is ASD?
ASD는 제목에 적혀있는 것처럼 Area-Selective Deposition, 우리말로 영역 선택적 증착법입니다.
우리가 일반적으로 wafer 위에 박막을 증착하고 성장시키는 방식은 박막을 원치 않는 부분에 산화막을 성장시키고
챔버에 넣고 가스를 분사해 wafer 전체에 박막을 씌운 뒤, 원치 않는 부분을 제거하는 방식을 택하고 있습니다.
상대적으로 높은 두께의 박막이나 정밀도가 크게 요구되지 않는 공정에서는 빠르고 값싼 공정이 가능하기 때문에 위와 같은 방식이
굉장히 효율적입니다. 하지만 매우 짧은 선폭(CD, Critical Dimension)이나 매우 얇은 두께의 박막을 정밀하게 성장시키고자 할 때에는 위 방식이 불리합니다.
ASD는 기본적으로 자기제한적 포화(Self-Limiting) 성질을 이용하는 공정이기 때문에, 산화막이나 마스크같은 물리적인 가림막이 없이도 원하는 곳에 박막을 성장시키는 기술이라고 보면 되겠습니다. 가장 일반적인 ASD 원리는 표면을 이루는 물질들의 성장 속도가 다른 점을 이용하는 것입니다. 물질의 내재된 성장률에 따라 선택적으로 증착할 수도 있고(사진속 가운데 위), 성장을 원하는 영역을 활성화(사진 정가운데), 혹은 성장을 원치 않는 영역을 비활성화(가운데 아래) 하는 방식으로 원하는 영역을 성장시키는 메커니즘입니다. 여기서 성장률이란, 분사하는 기체와 표면을 이루는 물질이 얼마나 잘 반응하여 막을 형성하는지에 따른 비율입니다.
쉬운 예시로 wafer 표면을 A와 B물질이 이루고 있는데, 우리가 B영역에만 C라는 박막을 성장시키고 싶다고 가정합시다. 그렇다면 다음과 같은 시나리오가 가능할 것입니다.
1. C 물질이 A에는 반응X, B에는 반응 O일 때
→ 이때는 그대로 wafer 전체에 C를 분사하면 B에만 성장할 것입니다.
2. C 물질이 A에 반응O, B에도 반응 O일 때
→ 이때는 A물질에 C와 반응하지 못하게 하는 표면 비활성화 방법을 택합니다.
3. C 물질이 A에 반응X, B에도 반응 X일 때
→ B의 표면을 활성화 시켜주면 B 영역에만 성장할 수 있습니다.

2. ASD in MPT (Multi Patterning Technology)
최근 반도체 패터닝은 우리가 수업시간에 배운 것처럼 하나의 마스크를 씌워 노광하는 것이 아닌 경우가 다반사입니다.
선폭이 극히 줄어들고, 공정 효율화를 추구하며 자연스럽게 여러개의 마스크로 한 번에 다중 패터닝을 하는 경우가 많습니다.
그렇다면 이 멀티패터닝 기술에서 ASD가 어떻게 쓰일 수 있는지 알아보겠습니다.

포토리소그래피, 포토공정을 활용한 멀티패터닝에는 EPE라는 해결해야할 숙제가 있습니다.
EPE는 Edge Placement Error의 약자로, 사진속 왼쪽 회로도처럼 CD가 불균일하거나, mask의 overlay에 오류가 있어 소자와 라인이 겹치는 등 다양한 패터닝 오류를 총망라하는 단어라고 볼 수 있습니다. 포토공정만으로 이 EPE를 완벽히 해결하기 어렵고,
또한 다중 패터닝 기술에서는 여러번의 포토공정이 수반되는데, 이를 위한 고가의 마스크 제작비, 포토장비(고가) 점유시간 증가 등에 의해 공정비용이 기하급수적으로 늘어난다는 단점도 함께 존재합니다.
이를 해결할 수 있는 대체재로 ASD 기술이 떠오르고 있습니다. ASD 기술은 리소그라피 없이도 멀티패터닝이 가능하다는 점에서 EPE를 완벽히 해결할 가능성을 갖고 있고, 마찬가지로 포토공정이 없기 때문에 공정비용도 줄일 수 있습니다.
3. ASD process with ALD and ALE
마지막으로 논문을 통해 ALD와 ALE 기술을 사용하여 ASD 공정을 통합 진행한 사례를 살펴보겠습니다. (레퍼런스 하단 참조)

앞서 말씀드린 것처럼 ALD 공정만 사용하여도 자기제한적 성질과 성장률 차이를 통해 선택적으로 박막의 두께를 달리 할 수 있습니다. 하지만, 대부분 우리가 원하는 이상적인 그림은 비선택영역은 박막이 0이고, 선택영역에만 박막이 원하는 두께로 자라게 하는 것입니다. 그렇기 때문에 ASD 공정에서는 주로 Growth Etch-Back Method를 사용합니다.
Growth Etch-Back은 위 그림처럼 비활성화/활성화 방식을 통해 최대한 선택적으로 증착한 후, 비선택영역을 포함해서 전체적으로 wafer를 etch시키며 비선택영역의 박막성장을 억제하는 것입니다.
이미 표면물질이 성장시키고자하는 박막소재와 반응을 잘하거나(선택영역) 잘 하지 못하므로(비선택영역) 선택영역에 10이 자라면 비선택영역은 1이 자라는 식으로 성장률 차이를 보입니다. 이때 선택비(selectivity, 얼마나 원하는 곳에만 자랐는가)를 높이기 위해서 선택영역을 8이나 9로 낮추더라도 비선택영역을 0으로 만드는 etch back 방식을 진행하는 것입니다.
이렇게 수사이클을 진행하면 결국 선택영역에만 100이 자라고 비선택영역은 0이 자라는 결과를 만들 수 있습니다.

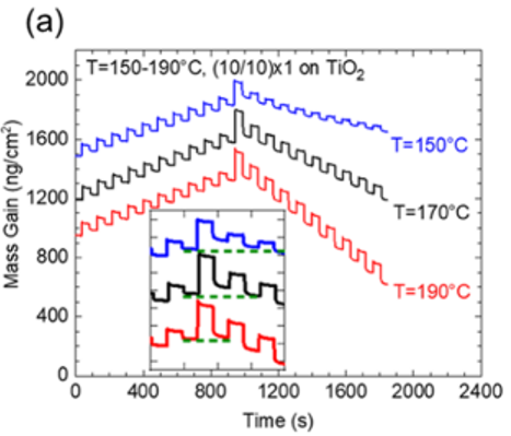
논문의 실험 결과입니다. 논문에서는 Si과 SiO2로 이루어진 표면에 ALD-ALE Super Cycle을 이루어 SiO2 위에 TiO2(Titanium dieOxide) 박막을 선택적으로 증착하는 실험을 진행했습니다. 위 사진은 QCM이라는 장비를 통해 질량을 분석하고, 관측된 질량을 통해 박막이 얼마나 형성되었는지 보는 그래프입니다. 그래프가 전체적으로 지그재그를 그리는 이유는 ALD로 증착되어 질량이 증가하고, ALE를 통해 식각되어 질량이 감소하기 때문입니다.

마지막으로 현미경을 통해 박막이 선택적으로 잘 증착되었는지 살펴보겠습니다.
가장 위의 그림 a와 b는 300번의 ALD공정만 진행한 것으로, ALE를 통한 etching은 진행되지 않은 예시입니다.
b를 보면 조금더 잘 알 수 있듯이 SiO2에도 Si표면에도 두께의 차이만 존재할 뿐 TiO2는 성장해있습니다.
c와 d는 30번의 ALD+5번의 ALE를 한 cycle로 봤을 때, 8 cycle / 10 cycle을 진행한 후 관찰한 사진입니다. 즉, 240 / 300번의 ALD와 40 / 50번의 ALE를 진행했다고 볼 수 있겠습니다. 이때는 SiO2에 제법 TiO2박막이 잘 성장되어있고, 반면 Si 표면에는 작은 입자들이 보일 뿐 박막이 성장했다고 보긴 어렵습니다.
마지막으로 e와 f는 30/5 ALD/ALE cycle을 10번 돌리고, 추가적으로 20번의 ALE까지 진행한 실험의 최종단계입니다.
사진 e는 사진 a와 비교해봐도 Si 표면이 매우 깨끗하게 TiO2없이 유지됨을 확인할 수 있습니다. 사진 f에서도 8nm두께의 TiO2 박막이 SiO2 위에만 고르게 성장했고, Si표면은 입자마저 없이 깔끔한 표면을 유지하고 있습니다.
오늘은 이렇게 영역선택적 증착 공정을 살펴봤습니다. ALD와 ALE를 활용한 기술은 단순히 박막증착과 식각을 넘어 패터닝과 같은타 공정에도 유용하게 접목될 수 있는 유망한 기술입니다. 읽어주셔서 감사합니다.

Reference
- 내용참고: SK Hynix Newsroom
- 참고문헌I. Area selective deposition using alternate deposition and etch super-cycle strategies
- 참고문헌II. Integrated Isothermal Atomic Layer Deposition/Atomic Layer Etching Supercycles for Area-Selective Deposition of TiO2
- [1] 참고문헌I.
- [2] ASML facebook
- [3], [4], [5] 참고문헌II.
'반심공_반도체 심화공정 공부하기' 카테고리의 다른 글
| [반심공] 오존을 사용한 귀금속 ALD 증착 (Pt-ALD with O3) (0) | 2026.01.13 |
|---|---|
| [반심공] 귀금속 ALD 증착 (Pt-ALD) (0) | 2026.01.06 |
| [반심공] DRAM의 MIM 커패시터, ZAZ구조 (0) | 2025.10.01 |
| [반심공] ALE_Atomic Layer Etching(원자층 식각 공정) (3) | 2025.08.26 |
| [반심공] ALD_Atomic Layer Deposition(원자층 증착 공정) (3) | 2025.08.12 |